
天然氣流量計測量原理及其計算公式
天然氣流量計對于測量氣體來講,差壓式流量計是一類應用最廣泛的流量計,在各類流量儀表中其使用量占居首位。近年來,由于各種新型流量計的問世,它的使用量百分數逐漸下降,但目前仍是最重要的一類流量計。差壓式流量計是根據安裝于管道中標準孔板產生的差壓,已知的流體條件和標準孔板與管道的幾何尺寸來計算流量的儀表。差壓式流量計由一次裝置(標準孔板流量計)和二次裝置(差壓變送器、配電器、控制器和流量計算機)組成。
①力矩分析
作用在渦輪上的力矩有:
a.流體流過渦輪時對葉片產生的轉動力矩Tr,它是主動力矩。
b.渦輪軸與軸承之間摩擦產生的機械摩擦力矩Trm 。
c.流體流經渦輪時對渦輪產生的流動阻力力矩Trf。
d.電磁轉換器對渦輪產生的電磁阻力力矩Tre。
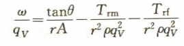
因此,渦輪的旋轉角速度。可表示為:

式中,J是渦輪的轉動慣量。一般情況下,電磁阻力力矩Tre很小。渦輪以恒定的旋車轉角速度旋轉,因此,旋轉角速度w對時間的微分為零。即有:
O=Tr-Trm-Trf
如圖所示,旋翼的導流片與軸線之間夾角為θ,流體的入口和出口流速為u1和u2。它們與圓周方向的夾角分別是α1和α2。流體對旋翼作用產生的旋轉力是圓周方向的。根據動量原理,其圓周方向的力fr等于單位質量流體量在圓周方向的動量變化,即:
fr=gvρ(u1cosα1-u1cosα2)
式中,qv和ρ是流體的體積流量和密度。

因入口和出口圓周運動速度相等,有:ur1=ur2=ur=wr。
流體離開葉片的相對速度與圓周運動方向夾角等于葉片傾角θ,因此,有:β2 =90°-θ。
因流體流速的軸向分量沒有變化,有:u1=u2sinα2
經化簡,得:fr=qvρ(u1tanθ-wr)。因此,主推力力矩為:Tr=frr=rqvρ(u1tanθ-wr)
考慮u1-qv/A。 A是流通截面積。則有:
用儀表系數K表示,即:
式中,z是渦輪葉片數;f是渦輪產生的脈沖率。
根據上述,有下列結論:
a.當與Tr比較,Trm,和Trf可忽略時,即可近似認為它們的值為零,這時,天然氣流量計的體積流量qv與渦輪產生的脈沖頻率了成正比。
葉片數Z增加,則K增加,同樣脈沖頻率下流體體積流量減小,換言之,同樣體積流量時的脈沖數增加。
傾角θ增加,則K增加,同樣脈沖頻率下流體體積流量減小,換言之,同樣體積流量時的脈沖數增加。
葉片半徑r減小或流通截面積A減小,則K增加,同樣體積流量時的脈沖數增加。
考慮實際應用時,渦輪需要先克服靜摩擦力矩后才能轉動,因此,Trm不為零.仍假設流體阻力力矩Trf忽略。則剛開始旋轉時的流量稱為始動流量,這時,輸出脈沖頻率仍為零,即有:
因此,始動流量qvmin為:
始動流量與渦輪軸與軸承之間摩擦產生的機械摩擦力矩Trm有關,該力矩大則始動流量也大。
傾角θ增加,從上式可知,一方面它使始動流量減小;另一方面,它增加了機械摩擦力矩,使始動流量增大。因此,傾角θ有一個優化值。
葉片半徑r增大或流通截面積A減小,可減小始動流量。但也對儀表系數K有影響。
流體密度大,則始動流量小。因此,當流體溫度變化引起其密度變化時,始動流量變化。
當流體流量大于始動流量后,流體主推力力矩主要克服流體阻力力矩,可忽略動摩擦力矩。因此,可根據流體流動狀態進行分析。
層流流動。流體層流流動的阻力力矩可表示為流體體積流量的線性函數:Trf=C2μqv
式中,C1是阻力系數;μ是流體黏度。
紊流流動。流體紊流流動的阻力力矩可表示為流體體積流量的二次方函數:Trf=C2ρqv
式中,C2是阻力系數。ρ是流體密度。
儀表系數K。根據上述,繪制如圖所示儀表系數與流體流量之間的關系曲線。
從圖可見。

A處的流率對應于始動流率。b-d段的流動狀態處于層流狀態,c和d分別對應線性最小和最大流率。e是誤差范圍.天然氣流量計的范圍度可達20:1或更高。
通常,流體流率大于c點流率就進人線性操作區,即可認為K是常數。
圖中,根據伯努利方程確定差壓△p,它隨流量的增加而以其平方關系變化。
②流體性能的影響
a.流體黏度的影響。天然氣流量計的重要特性是它的高復現性,典型值可達0.02%,而精度達0.25級。根據式(2-102),流體黏度對儀表系數有影響,因此,對高黏度流體,例如,石油化工的流體結算,應考慮黏度的影響。
平直葉片.圖2-51(a)是平直葉片時,流體黏度對儀表系數的影響.可以看到,隨黏度的增加,靜摩擦力矩增加。因此,層流區段增大,線性范圍區段減小,儀表系數也有所提高。

螺旋葉片.圖2-51(b)是螺旋葉片時,流體黏度對儀表系數的影響。可以看到,隨黏度的增加,靜摩擦力矩增加不明顯,因此,層流區段增大不多,線性范圍區段減小較少,而儀表系數可基本保持不變。
儀表口徑。通常,儀表口徑越小(<50mm),它受流體黏度的影響越大。
流體密度的影響。流體密度對儀表系數有影響。
氣體密度的影響。氣體密度隨溫度壓力變化而變化,由于其值是液體密度的千分之幾,因此,為獲得同樣的轉動力矩,氣體的流速要增大幾十倍.這就造成軸承摩擦力矩隨位用時間的增加而激烈增大。為此,除了要進行密度補償外,設計時氣體天然氣流量計的傾角要小些,以降低葉輪旋轉速度。
③其他影響
流體流動狀態的影響。流體進入流量計的流動狀態影響儀表系數。為此,應有足夠直管段長度,以使流體充分發展,消除進口處流體流速分布的不均勻和不穩定。
安裝方式的影響。水平和垂直方向的安裝會影響流量計的儀表系數。要求現場安裝方式與標定時安裝方式一致,安裝偏差不超過5°。
④天然氣流量計的壓損
天然氣流量計的壓權來自渦輪轉子對流體動能產生的機械阻力和流體a滯引起的黏滯阻力。轉速越高,機械阻力越大;流體黏度越大,黏滯阻力越大。根據伯努利方程可知,天然氣流量計的壓損與流體在葉片前平均流速的平方成正比,與流體密度成正比。
⑤天然氣流量計結構參數對性能的影響
a.葉片平均傾角θ。傾角θ小,同樣大小流量下,葉輪轉速提高,儀表靈敏度提高。但轉速提高使軸承磨損增大,使用壽命縮短.通常對液體,傾角為30°-45°。氣體為10°-150°。
b.葉片數Z。葉片數Z增加,摩擦阻力矩增大,葉輪慣性力矩也增大;同時,Z的增加使儀表讀數準確度提高。一般D=10mm, Z=2; D=15mm, Z=3; 25mm≤D<50mm,Z=6;50mm≤D<100mm,Z=8;D≥100mm, Z=100。
c.葉輪頂徑與流量計導管內壁間隙δ.間隙δ過大,流體動能不能充分利用;δ過小,流體黏度影響增大.通常D≤10mm, δ=(0.05,0.07)D; 10mm
d.葉輪根徑與流量計導管內徑之比k, k越大,儀轟靈敏度越高;但引起葉輪轉速提高,磨損增大,壓損增大。
E.葉片重疊度P。P過大,不僅使葉輪重量增大,磨損加劇,也使壓損增大。過小則易漏過流體,降低一般靈敏度。一般P=0.9~1.2。
上一篇:差壓式流量計測量原理
下一篇:空氣流量計故障診斷與維修
版權所有 Copyright(©)2009-2011 江蘇力科儀表有限公司
電話號碼:0517-86909222 商務熱線:15305232668 傳真:0517-86909221
地址:江蘇省金湖縣工業園
技術支持:易品網站建設專家 蘇ICP備13047422號-2